Authors: The ATLAS Collaboration
Reference: arXiv:1604.06645v4 [hep-ex]
Somewhere in a tiny corner of the massive LHC cavern, nestled next to the veteran LHCb detector, a new experiment is coming to life.
The Monopole & Exotics Detector at the LHC, nicknamed the MoEDAL experiment, recently published its first ever results on the search for magnetic monopoles and other highly ionizing new particles. The data collected for this result is from the 2012 run of the LHC, when the MoEDAL detector was still a prototype. But it’s still enough to achieve the best limit to date on the magnetic monopole mass.

Magnetic monopoles are a very appealing idea. From basic electromagnetism, we expect to swap electric and magnetic fields under duality without changing Maxwell’s equations. Furthermore, Dirac showed that a magnetic monopole is not inconsistent with quantum electrodynamics (although they do not appear natually.) The only problem is that in the history of scientific experimentation, we’ve never actually seen one. We know that if we break a magnet in half, we will get two new magnetics, each with its own North and South pole (see Figure 1).
This is proving to be a thorn in the side of many physicists. Finding a magnetic monopole would be great from a theoretical standpoint. Many Grand Unified Theories predict monopoles as a natural byproduct of symmetry breaking in the early universe. In fact, the theory of cosmological inflation so confidently predicts a monopole that its absence is known as the “monopole problem”. There have been occasional blips of evidence for monopoles in the past (such as a single event in a detector), but nothing has been reproducible to date.
Enter MoEDAL (Figure 2). It is the seventh addition to the LHC family, having been approved in 2010. If the monopole is a fundamental particle, it will be produced in proton-proton collisions. It is also expected to be very massive and long-lived. MoEDAL is designed to search for such a particle with a three-subdetector system.

The Nuclear Track Detector is composed of plastics that are damaged when a charged particle passes through them. The size and shape of the damage can then be observed with an optical microscope. Next is the TimePix Radiation Monitor system, a pixel detector which absorbs charge deposits induced by ionizing radiation. The newest addition is the Trapping Detector system, which is simply a large aluminum volume that will trap a monopole with its large nuclear magnetic moment.
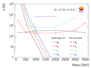
The collaboration collected data using these distinct technologies in 2012, and studied the resulting materials and signals. The ultimate limit in the paper excludes spin-0 and spin-1/2 monopoles with masses between 100 GeV and 3500 GeV, and a magnetic charge > 0.5gD (the Dirac magnetic charge). See Figures 3 and 4 for the exclusion curves. It’s worth noting that this upper limit is larger than any fundamental particle we know of to date. So this is a pretty stringent result.

a function of mass, with different charge models.

a function of charge, with different mass models.
As for moving forward, we’ve only talked about monopoles here, but the physics programme for MoEDAL is vast. Since the detector technology is fairly broad-based, it is possible to find anything from SUSY to Universal Extra Dimensions to doubly charged particles. Furthermore, this paper is only published on LHC data from September to December of 2012, which is not a whole lot. In fact, we’ve collected over 25x that much data in this year’s run alone (although this detector was not in use this year.) More data means better statistics and more extensive limits, so this is definitely a measurement that will be greatly improved in future runs. A new version of the detector was installed in 2015, and we can expect to see new results within the next few years.
Further Reading:
- CERN press release
- The MoEDAL collaboration website
- “The Phyiscs Programme of the MoEDAL experiment at the LHC”. arXiv.1405.7662v4 [hep-ph]
- “Introduction to Magnetic Monopoles”. arxiv.1204.30771 [hep-th]
- Condensed matter physics has recently made strides in the study of a different sort of monopole; see “Observation of Magnetic Monopoles in Spin Ice”, arxiv.0908.3568 [cond-mat.dis-nn]
Julia Gonski
Latest posts by Julia Gonski (see all)
- Going Rogue: The Search for Anything (and Everything) with ATLAS - May 5, 2018
- Grad students can apply now for ComSciCon’18! - January 24, 2018
- A Moriond Retrospective: New Results from the LHC Experiments - July 10, 2017
